過去問添削付きで9,800円 - 本番さながらの演習で京大合格へ
zkai.co.jp【1/30(金)までの申込で、+α演習教材が付く】プロの添削指導付き直前対策講座で、京大合格へ。 高3・高卒生対象。京大入試即応の予想問題×プロの添削指導で、合否を分ける1点をつかみとる。
並べ替え:新着順
返信先:@kazu_kz_232025年は、京大工or農学部志望の仮面浪人として、模試(京大実戦、オープン、駿台プレなど)に挑み続ける1年でした。英語で高得点を取る一方、数学や理科で苦戦しつつ、復習を重ねて成長。大学生活のストレス(授業欠席、テスト回避)もありましたが、友人との交流や趣味(くじ引き、星空観察)で息抜
京大実戦で8割取れてるから、東大文系数学も平均して55ぐらいは取れるはず 過去問解いた感じだともっと幅があったけど(45〜70ぐらい) #mond_mini_hitode mond.how/ja/topics/bwu2…
大数ゼミ、君は模試もテスト演習も毎回安定して点数低いの間違いでは?という感想を抱いた(京大実戦とか見てても大数ゼミで毎回10位ぐらい彷徨って総合ランキングにへばり付く勢は予後があまり良くないのかもしれない)
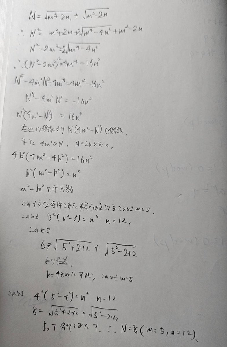
京大実戦、採点者とやり取りした結果2も満点になり全完になり草(採点者が感じたギャップについて話題が移りそこは問題ないとなったので、ワイがやらかした不備(√の一つ目の値が2^2,3^2,…..7^2を調べるはずが2^2が抜けてる)が不問になってしまった🙄)
京大実戦数学5、楕円を使った解法にちたいて採点にイチャモンをつけて満点にしてもらったので5完来ました😭2は後半が妥当ではないという事でワイ自身も不備があるのは分かってるが、その不備が採点者の考えてるのと同じかは確認できなかったので一応それも確認するために後で電話する👍
東大実戦、東大オープン、東大プレ、東大本レ、参考書pdf、鉄緑会pdf、京大実戦、京大オープン、神戸大実戦、神戸大オープン、阪大実戦、阪大オープンなどいろいろあります! 映像授業もあるのでDMまで!!
[248]3つの相異なる素数p,q,r(p<q<r)はどの2数の差(大きいほうから小さいほうを引いた値)も素数になるという。このような(p,q,r)の組を全て求めよ(2017年第一回京大実戦1、5分問題)
第2回京大実戦模試偏差値Aライン 2023→2025 京大情 66.2→65.7 京大物 62.2→62.5 京大建 60.4→60.4 京大電 59.5→60.1 京大化 57.2→59.5 京大地 56.8→58.8 京大工学部合格最低点 理工化学科を基準 23→24→25 情 85→95→74 物 35→29→32 電 28→20→25 建 35→14→15 地 12→2→3 化 0→0→0 x.com/c14h18n2o5ku/s…
第2回京大実戦 素点(医医)※一の位切り捨て 英 90/150 (190/300) 数 110/200 (140/250) 国 30/100 (50/150) 物 70/100 (110/150) 生 70/100 (100/150) ∑ 400/650 (620/1000) 京医医判定B(夏500E) 定員ギリ オープンとあんまり変わんないね 国数英は全部自己採より下がった

SNSのバズまとめ一覧