- すべて
- 画像・動画
並べ替え:新着順
返信先:@kaityo2561:わかりにくい例 スマホの音声認識技術は三角関数抜きでは成り立たない 2:わかりやすい例 海洋調査現場でGPSの電源が壊れたら、六分儀と三角関数表を使って緯度経度を確認しないと港に帰れなくなって死ぬ
返信先:@ES45_Kathode1:わかりにくい例 スマホの音声認識技術は三角関数抜きでは成り立たない 2:わかりやすい例 海洋調査現場でGPSの電源が壊れたら、六分儀と三角関数表を使って緯度経度を確認しないと港に帰れなくなって死ぬ
無粋を承知で雪風が何をしているのかというと井上式航海定規(三角定規)のA定規で目標(敵機や僚艦)までの測量をしています 三角関数表を暗記せずとも航海で使う単位系の高度尺(角度)、標高尺(ft)、距離尺(NM)が刻印されているんで射撃や進路速力指示が迅速にできるんですね uchida-draft.com/q-a/torisetu_i… pic.x.com/gU6Q22myVq x.com/watanore/statu…
✕三角関数表を丸写しで暗記する ◯使ってるうちに覚える pic.x.com/nvhFVmUlC5 x.com/bz94607/status…
返信先:@ll45l4_gaiji入るんじゃない? 丸写しで暗記することも大事だよ 数学は解くことはもちろん大事だけど実は公式や表を覚えてしまえばあとはそこに数字を当てはめるだけだから式や表の暗記も十分効果はあるんだよ
三角関数表の丸写しって"勉強"のうちに入るんですか? x.com/2yan_koruri/st…
机の上の物配置変えて更に可愛くなった.⋆𝜗𝜚 キラ勉で定期テスト勉強のモチベもup⤴️🌟⋆꙳ テストが終わったら楽しい冬休みも待ってる❕メイクしたいしお友達とも遊びたいし、高1のうちにたくさん遊んでおきたいなー🎀🪄
ちびエンジェル『ウチはミカエル様じゃき』 邪鬼『俺はマモンだ』 そうは、書けないんじゃないか。書き方もわからないし...。 ちびエンジェル『ウチは大泣きじゃ』 邪鬼『お前は馬鹿か』 何とかしてみるが... 三角関数表を覚える価値があるかな 先生『あら、いらっしゃい』 私には出来るはずだ pic.x.com/IrwqVvB7IY
返信先:@soave1234567890P(z)=a+b¡ Re 9998 ひとつ分 a In 175 いくつ分 b¡ 三角関数表を複素平面に写してみる (ひとつ分)(いくつ分)だけ決めればいくらでも拡張出来る pic.x.com/lTmY94hbor
三角関数表 覚える必要があるかについては疑問符がつくが、電卓と辞書は使い込む。 習うより慣れろの精神 例) 1° sin 『鵜』が鳴いて、『和音』が『水面』に消える 鵜→1 和音→01 水面→75 例) 5° sin 『名』もなき人の詩、『和弓』の達人『三日月』の調べ 名→5 和弓→08 三日月→72 pic.x.com/9dLPvSeSEG
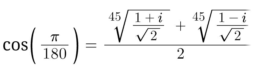
G={a,b,c,d} 性質がよい 0,π/2,π,2π 0°,90°,180°,270°,360° 集合を考える 写像を考える 群を考える sin570° sin(θ+2nπ)=sinθ 570-360=210 sin(π±θ)=±sinθ 180-210=-30 sin(-θ)=-sinθ sin-30°=-1/2 三角関数表は暗記に挑戦中 θ/2 ...コレは均衡のエビデンスだ (ひとつ分)(いくつ分) z=a+b¡ pic.x.com/RdqXdIYau8
返信先:@llama_kuwa3_923【三角関数の発展】 積を和に置き換えられる=三角関数表があったからでしょうね。 コンピュータはもちろん、電卓もない、計算尺が理数系の必須アイテムだった頃の話。 コンピュータのおかげで、勉強すべきことが減ったんでしょうね。
返信先:@llama_kuwa3_923こんにちは。「昔の偉い人は正96角形の辺の長さを計算して円周率を求めた」とかいう話にロマンを感じる生徒なら(それを追体験してみたいかと言われて乗ってくるなら)、何かできそうな気はしますね。 もっと言えば三角関数表だって誰かが計算して作ったわけで…。
返信先:@47IHr3CODmMvFZ1確かに三角関数表を用いて計算したらこうなりました、、、極限値を取らないと整数にならなそうですね。問題不備かもしれません。 pic.x.com/ylNV2idrLi
閉館まで伊能忠敬記念館にいた🗾 撮影禁止なので展示内容で気になるのはメモった ・子午線一度分の長さの測り方 ・北海道測量で記載されたアイヌ語の地名 ・象限儀と三角比で坂道の水平距離の計算方法 ・江戸時代の三角関数表(漢数字ばかりで意味不明 ・測量に使った道具 が面白かった 伊能忠敬は理系 pic.x.com/cb42iOGuvn
ところが「トレミーの定理」の和算家による証明を検討した平田諦は「和算家は角の概念を使わない」とします.和算家は 1°(あるいは2°)ごとの三角関数表の作成をしていたにもかかわらず「角」を幾何学の議論に持ちこまず,長くて奇妙な「線分の長さと面積計算による証明」を行います. pic.x.com/TLaQ02EFGx
トレンド9:32更新
- 1
エンタメ
ミリオネア
- 3時間半
- クイズミリオネア
- 二宮和也
- ムロツヨシ
- 13年ぶり
- 18時から
- 菊池風磨
- 2
グルメ
ほっかほっか亭
- 探偵!ナイトスクープ
- 埼玉県草加市
- ご報告
- FC
- 3
ニュース
中国「国連安保理の許可なしに日本攻撃可能
- 国連安保理の許可なし
- 攻撃可能
- 旧敵国条項
- 国連安保理の許可なしに日本攻撃可能
- 敵国条項
- 国連安保理
- 日本経済新聞
- 緊急速報
- 日本攻撃可能
- 4
エンタメ
市川團十郎
- riehata
- ベストアーティスト
- ベストアーティスト2025
- King & Prince
- 髙橋海人
- 5
スポーツ
ドラゴンズ愛
- 松葉貴大
- 想像できない
- ドラゴンズ
- 6
首相官邸前で「戦争あおるな」
- 戦争あおるな
- 首相官邸前
- 台湾有事
- 首相官邸
- 7
エンタメ
しずまちゅ
- 角上魚類
- しめまちゅ
- スタディーJAPAN
- ギャル姉妹
- シューイチ
- しめちゃん
- 松倉海斗
- まちゅ
- 七五三掛
- マグロ解体ショー
- 七五三掛龍也
- 松倉
- 閑也
- 8
コンビニに尿入りペットボトル並べた疑い
- 26歳
- 尿入りペットボトル
- コンビニ
- 9
エンタメ
サタプラ
- 正門くん
- 10
富士そば店舗の貼り紙
- 撤去指示
- ランチタイム来店遠慮して
- 失礼だった
- 名代富士そば
- 運営会社
- 富士そば
人気ポスト
博多の都市高速をくぐった時にふと上を見たら「雲」って書いてる! ひょっとして神棚の天井に書くあの「雲」?! 都市高速はないですよー、上は雲しかないですよーって神様誤魔化すやつ!この下を山笠が通ったたりするのかな?
ヨーキーの毛並みの種類こんなにあったんだ
オードリー・ヘップバーンのスクリーンデビュー75周年を記念して、『ローマの休日』『ティファニーで朝食を』『マイ・フェア・レディ』代表作3本の特集上映を「オードリー・ヘップバーン ~映画史に刻まれた永遠の輝き~」として実施するみたいです🩰♥
彼氏に別れLINE送ったらこれ来て好きな感情一切無くなった
これ着てる人最近良く見かけるけど何処で買ってるの?
会社のとあるアルバイトさんは、お土産を配るときはいつも「ご主人にも」と机の上に2つ置いてくれる。そのたびに私は持って帰って、お供えしてからいただいている。
これ販売するんだ……欲しいな…… youtube.com/shorts/taQfd5l…
アレやめてほしいって思ってるの、私だけかなぁ。。。
カレールーっていつも同じのばっかり!勇気を出して食べ比べよう! youtu.be/KwrC0NKGKiY?si… カレーのイーブイを大量に作って、一人前ずつ小鍋で作っていく事で捌ききれました(特殊なルーを除く)
果てしなきスカーレットの評価がどんくらいヤバいかというと、100ワニと競えるくらい…こんなの悲しいよ。
SNSのバズまとめ
SNSのバズまとめ一覧




