自動更新

並べ替え:新着順

メニューを開く

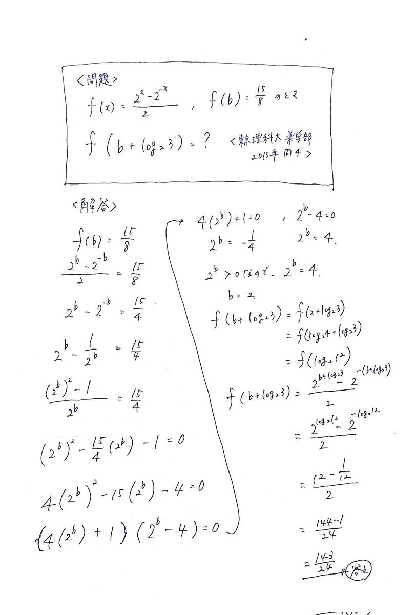
こんばんはー。 今日は神奈川大学の問題です。 やってみよう✋ #毎日小問 #数学 #小問対策 #対数関数 #神立東玉文武 #摂神追桃 #神奈川大学 pic.x.com/yeY36GrMhP

【公式】落とせない必須101題/宇宙一やさしい数学99題&111題@otosenaihissu

メニューを開く

こんばんは♪ 今日は慶應看護です。 やっていきましょう✋ #毎日小問 #数学 #小問対策 #対数関数 #大東亜帝国 #看護 #専門学校 #慶應義塾大学 pic.x.com/obzmsLjzBQ

【公式】落とせない必須101題/宇宙一やさしい数学99題&111題@otosenaihissu

メニューを開く

やはり対数関数は指数関数の逆関数として理解するのがいいのかも。 a,b>0なる数として a^x=b^(γx) となるγを見つけると言うのが対数の底の変換だと思うので。 #対数関数 #底の変換

堀畑 和弘@kazzhori

トレンド3:37更新

  1. 1

    アニメ・ゲーム

    ゼルダの伝説

    • ゼルダの
    • 実写映画
    • Nintendo Today!
    • 2027年
    • ゼルダ
  2. 2

    もちふぃった

    • アバター
  3. 3

    FA移籍

    • FA行使
    • 伊藤光
    • 契約合意
    • DeNA
    • FA
    • MLB
  4. 4

    エンタメ

    まなふぃー

    • あまねき
  5. 5

    スポーツ

    aespaの紅白出場停止を求めます

    • 4万枚
    • オンライン署名
    • アルバム
    • Sign
  6. 6

    シテの花

    • とても悲しい
    • サンデー
  7. 7

    エンタメ

    爆弾発言

  8. 8

    アニメ・ゲーム

    サンデー編集

    • サンデー編集部
    • 地に落ちた
  9. 9

    校内放送

    • うんぴょこ
  10. 10

    今週の高杉くん

20位まで見る

人気ポスト

電車遅延(在来線、私鉄、地下鉄)

遅延している路線はありません

全国の運行情報(Yahoo!路線情報)
よく使う路線を登録すると遅延情報をお知らせ Yahoo!リアルタイム検索アプリ
Yahoo!リアルタイム検索アプリ