自動更新

並べ替え:新着順

ベストポスト
メニューを開く

#AI神髪の御業 「私の数学通信教育によく来た。 言っておくが、私は全員が数式の美学を理解できるとは思ってはいない。 ついて来れるものだけ数字の美をたっぷりと堪能させてやろう。 ……なんだね助手くん。”高圧的すぎてリテイク?” やれやれ、講師というのも楽ではないな」 #樹とき pic.x.com/GLqGKJtGKr x.com/vesperday/stat…

由良岐(ゆらぎ)@vesperday

#AI神髪の御業 わたし達の企画も最終日です(*´˘`*)♥ 全日程でたくさんのご参加を頂き本当にありがとうございます❣️ 今日は【全会場を解放】しています♪♪ こちらは「ポニーテール」の会場! お好きな会場からご参加ください(。・ω・。)♡ x.com/poprator0815/s…

樹よむ(いつきよむ)AIイラスト(素材は個人利用可)@ItsukiRead5275

メニューを開く

「ふぁ〜……おはよう、助手くん。では昨晩の答え合わせと行こうか。 ∬_D (x+y)dA = ∫₀¹ ∫₀^{1−x} (x+y) dy dx = 1/3。 仰々しい問も、紐解けばたったこれだけだ。美しいだろう? では珈琲を淹れて貰おうか」 #数学少女の挑戦状 #樹とき #AIイラスト #AIイラスト好きさんと繋がりたい pic.x.com/LdlWWbNa77

樹よむ(いつきよむ)AIイラスト(素材は個人利用可)@ItsukiRead5275

メニューを開く

「まだ眠れないのかね?では今夜は領域と少し語ろう。 D={0≤x≤1, 0≤y≤1−x} 上で ∬_D (x+y) dA を計算してみたまえ。 見た目は仰々しいが、正しい視点があれば、一瞬で片がつくのだよ。 では、おやすみ」 #数学少女の挑戦状 #樹とき #AIイラスト #AIイラスト好きさんと繋がりたい pic.x.com/YF8n9NngPT

樹よむ(いつきよむ)AIイラスト(素材は個人利用可)@ItsukiRead5275

メニューを開く

「まだ眠れないのかね?では今夜も式と戯れようか。 ∫₀^{π/2} (sin⁴x + cos⁴x) dx を求めてみたまえ。 見た目に怯える必要はない。少し視点を変えれば、一瞬で片がつくのだよ。 では、おやすみ」 #数学少女の挑戦状 #樹とき #AIイラスト #AIイラスト好きさんと繋がりたい pic.x.com/k7tHaLd69r

樹よむ(いつきよむ)AIイラスト(素材は個人利用可)@ItsukiRead5275

メニューを開く

「おはよう、助手くん。昨晩の答え合わせと行こうか。 log₂8=3, log₄16=2, log₅25=2 ⇒ 3+2−2=3。 ……どうだね、ほどけばたったこれだけなのだよ。 では朝食を作って貰おうか」 #数学少女の挑戦状 #樹とき #AIイラスト #AIイラスト好きさんと繋がりたい pic.x.com/NcvuY2JvvX

樹よむ(いつきよむ)AIイラスト(素材は個人利用可)@ItsukiRead5275

メニューを開く

「ふぁ……おはよう、助手くん。昨晩の答えだ。 1/[n(n+1)]=1/n−1/(n+1) ⇒ 部分和は 1−1/(N+1) → 1。 無限級数も、ほどけばストンと落ちるのだよ。 では、珈琲を淹れて貰おうか」 #数学少女の挑戦状 #樹とき #AIイラスト #AIイラスト好きさんと繋がりたい pic.x.com/jtRxlnkp7H

樹よむ(いつきよむ)AIイラスト(素材は個人利用可)@ItsukiRead5275

メニューを開く

「まだ眠れないのかね?では今夜は数列と無限の対話だ。 Σₙ₌₁^∞ 1/[n(n+1)] を求めてみたまえ。 見た目は果てしないが、芯は驚くほど単純だよ。 では、おやすみ」 #数学少女の挑戦状 #樹とき #AIイラスト #AIイラスト好きさんと繋がりたい pic.x.com/kbyPb8yfb4

樹よむ(いつきよむ)AIイラスト(素材は個人利用可)@ItsukiRead5275

メニューを開く

#AI神髪の御業 「君が以前に、三つ編みの私が見たいと言っていたからな……。きょ、今日だけだぞ!」 #樹とき pic.x.com/P5AfzjHmNs x.com/scottieAIillus…

スコッティ✦AI Illustration@scottieAIillust

#AI神髪の御業 4日目! 10月14日、本日の担当は私、スコッティです✨️ テーマは三つ編みです∞(。 ¨̮ 。)∞ 三つ編みであれば1本でも2本でも何本でもOKですよぉ(*¯︶¯♥) x.com/poprator0815/s…

樹よむ(いつきよむ)AIイラスト(素材は個人利用可)@ItsukiRead5275

メニューを開く

「ふぁ〜……おはよう、助手くん。 t=sin x ⇒ dt=cos x dx で ∫₀¹ t dt = [t²/2]₀¹ = 1/2。 ……どうかね?ほどけばたったこれだけだ。 では珈琲を淹れて貰おうか」 #数学少女の挑戦状 #樹とき #AIイラスト #AIイラスト好きさんと繋がりたい pic.x.com/zH955YDruq

樹よむ(いつきよむ)AIイラスト(素材は個人利用可)@ItsukiRead5275

メニューを開く

「まだ眠れないのかね?……では今夜は三角との対話だ。 ∫₀^{π/2} sin x·cos x dx を求めてみたまえ。 複雑そうに見えて、着地点は驚くほどシンプルだよ。 では、おやすみ」 #数学少女の挑戦状 #樹とき #AIイラスト #AIイラスト好きさんと繋がりたい pic.x.com/ZYaHUaUhKp

樹よむ(いつきよむ)AIイラスト(素材は個人利用可)@ItsukiRead5275

メニューを開く

ふぁ……おはよう、助手くん。昨晩の答え合わせだ。 部分積分:u=x, dv=e^x dx ⇒ [x e^x]_0^1−∫e^x dx = e−(e−1)=1。 どうかね、ほどけばただの整数だ。美しいだろう? では珈琲を淹れて貰おうか」 #数学少女の挑戦状 #樹とき #AIイラスト #AIイラスト好きさんと繋がりたい pic.x.com/Dc3exoIo4I

樹よむ(いつきよむ)AIイラスト(素材は個人利用可)@ItsukiRead5275

メニューを開く

「まだ眠れないのかね?……では今夜は静かな積分だ。 ∫₀¹ x·eˣ dx を求めてみたまえ。 見た目は気取っているが、着地点は意外なほどシンプルだよ。 では、おやすみ」 #数学少女の挑戦状 #樹とき #AIイラスト #AIイラスト好きさんと繋がりたい pic.x.com/GB9yYgtysv

樹よむ(いつきよむ)AIイラスト(素材は個人利用可)@ItsukiRead5275

メニューを開く

「まだ眠れないのかね?では数と形の合作だ。 S = Σ_{k=1}^{12} cos(kπ/6) を求めてみたまえ。 見た目は賑やかでも、紐解けば静かな整数だよ。 では、おやすみ」 #数学少女の挑戦状 #樹とき #AIイラスト #AIイラスト好きさんと繋がりたい pic.x.com/jUVFdwX1pQ

樹よむ(いつきよむ)AIイラスト(素材は個人利用可)@ItsukiRead5275

メニューを開く

「…おはよう、助手くん。 sin^2(kπ/2)= {1(奇数k), 0(偶数k)} ⇒ S=1+3+5=9。 ほどけば、たったこれだけだ。数字は嘘を吐かないのだよ。 では朝食を作って貰おうか」 #数学少女の挑戦状 #樹とき #AIイラスト #AIイラスト好きさんと繋がりたい pic.x.com/4uWcdVUcXG

樹よむ(いつきよむ)AIイラスト(素材は個人利用可)@ItsukiRead5275

メニューを開く

「まだ眠れないのかね?では今夜は数と形の合作だ。 S = Σ_{k=1}^{6} k·sin^2(kπ/2) を求めてみたまえ。 見た目は賑やかだが、芯は静かな整数だよ。では、おやすみ」 #数学少女の挑戦状 #樹とき #AIイラスト #AIイラスト好きさんと繋がりたい pic.x.com/gJhha2cSyL

樹よむ(いつきよむ)AIイラスト(素材は個人利用可)@ItsukiRead5275

メニューを開く

「今日は銭湯の日らしいな。サウナも良いが、銭湯は疲れた身体に染み渡る……。 ここは穴場だな。今度は助手くんと来たいものだな」 #樹とき #AIイラスト #AIイラスト好きさんと繋がりたい pic.x.com/DYqRu3YlQN

樹よむ(いつきよむ)AIイラスト(素材は個人利用可)@ItsukiRead5275

メニューを開く

「まだ眠れないのかね?……ふむ、ならば一刀両断の極限だ。 lim_{x→0} (1 − cos x) / x^2 を求めてみたまえ。 複雑な顔をして、実は素直な数式なのだよ。 では、おやすみ」 #数学少女の挑戦状 #樹とき #AIイラスト #AIイラスト好きさんと繋がりたい pic.x.com/BRkpimss3L

樹よむ(いつきよむ)AIイラスト(素材は個人利用可)@ItsukiRead5275

メニューを開く

「ふぁ……おはよう、助手くん。昨晩の答え合わせだ。 k(k+1)=k^2+k だから、 S=Σk^2+Σk= [10·11·21/6] + [10·11/2] = 385+55 = 440。 美は手数ではなく、整理に宿るのだよ。 では珈琲を淹れて貰おうか」 #数学少女の挑戦状 #樹とき #AIイラスト #AIイラスト好きさんと繋がりたい pic.x.com/6T2V6zPd3S

樹よむ(いつきよむ)AIイラスト(素材は個人利用可)@ItsukiRead5275

メニューを開く

「また来たのかね?……ふふ、では今夜は和の美学だ。 S = Σ_{k=1}^{10} k(k+1) を求めてみたまえ。 殻を剥げば、ただの整数に過ぎんよ。 では、おやすみ」 #数学少女の挑戦状 #樹とき #AIイラスト #AIイラスト好きさんと繋がりたい pic.x.com/zUsYVNz1A1

樹よむ(いつきよむ)AIイラスト(素材は個人利用可)@ItsukiRead5275

メニューを開く

「まだ眠れないのかね?……ふふ、ならば極限の小手調べだ。 lim_{x→0} (sin x − x) / x^3 を求めてみたまえ。 美は微小に宿る。見抜けるかな、助手くん? では、おやすみ」 #数学少女の挑戦状 #樹とき #AIイラスト #AIイラスト好きさんと繋がりたい pic.x.com/WXHDMtXrd8

樹よむ(いつきよむ)AIイラスト(素材は個人利用可)@ItsukiRead5275

メニューを開く

「はふ……おはよう、助手くん。夜の答え合わせといこうか。 OA=(1−x,2−y)、OB=(4−x,6−y) として cos60°=1/2 を内積で処理すれば、連立でOは2点に定まる。 数と形、見抜けたかね? では珈琲を淹れて貰おうか」 #数学少女の挑戦状 #樹とき #AIイラスト #AIイラスト好きさんと繋がりたい pic.x.com/y9JRwpKqBA

樹よむ(いつきよむ)AIイラスト(素材は個人利用可)@ItsukiRead5275

メニューを開く

「また来たのかね、助手くん。ならば今夜は“点”の話をしよう。 2点 A(1,2)、B(4,6) に対し、∠AOB=60° となる点 O を求めてみたまえ。 形の裏に潜む数を、君は見抜けるかね? では、おやすみ」 #数学少女の挑戦状 #樹とき #AIイラスト #AIイラスト好きさんと繋がりたい pic.x.com/9KSpU4bCaI

樹よむ(いつきよむ)AIイラスト(素材は個人利用可)@ItsukiRead5275

メニューを開く

「にゃ……おはよう、助手くん。夜の答え合わせといこうか。 軸は x=2、頂点の値 y=−1。端点は x=−1→y=8、x=5→y=8。 よって最小値−1、最大値8だ。 美は頂点に宿る…覚えておきたまえ。 では珈琲を淹れて貰おうか」 #数学少女の挑戦状 #樹とき #AIイラスト #AIイラスト好きさんと繋がりたい pic.x.com/aJzYOVDTuW

樹よむ(いつきよむ)AIイラスト(素材は個人利用可)@ItsukiRead5275

メニューを開く

「まだ眠れないのかね?ならば今夜は二次関数で眠気を誘おう。 y=x2−4x+3y = x^2 - 4x + 3y=x2−4x+3 の区間 [−1,5][-1, 5][−1,5] における最大値・最小値を求めよ。 美は放物線の頂点に宿るのだよ。では、おやすみ」 #数学少女の挑戦状 #樹とき #AIイラスト #AIイラスト好きさんと繋がりたい pic.x.com/jB8bmCUMOk

樹よむ(いつきよむ)AIイラスト(素材は個人利用可)@ItsukiRead5275

メニューを開く

「おはよう、助手くん。昨夜の答えだ。 3×(1式) − 2×(2式) で y を消去: 6x+9y −(6x−2y)=36−2 → 11y=34 → y=34/11。 x=(1+y)/3=15/11。 答え:x=15/11, y=34/11。 基礎を侮るなよ、助手くん。 では朝食を作って貰おうか」 #数学少女の挑戦状 #樹とき #AIイラスト pic.x.com/JAu2PariLv

樹よむ(いつきよむ)AIイラスト(素材は個人利用可)@ItsukiRead5275

メニューを開く

「ふむ、また来たのかね? 今夜は中学の基礎に戻って、少しひねった連立方程式を解いてみたまえ。 2x + 3y = 12 3x − y = 1 地味に見えるだろう?だが美は基礎にこそ宿る。では、おやすみ」 #数学少女の挑戦状 #樹とき #AIイラスト #AIイラスト好きさんと繋がりたい pic.x.com/4MdvMJ0KY1

樹よむ(いつきよむ)AIイラスト(素材は個人利用可)@ItsukiRead5275

メニューを開く

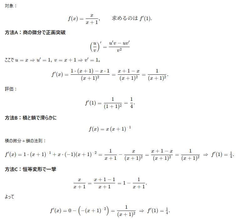
「わふ……おはよう、助手くん。昨夜の答えだ。 f′(x) = [(x+1)−x]/(x+1)² = 1/(x+1)² → f′(1) = 1/4。 ほらね、整えればただの 1/4。数字は決して嘘をつかないのだよ。 では珈琲を淹れて貰おうか」 #数学少女の挑戦状 #樹とき #AIイラスト #AIイラスト好きさんと繋がりたい pic.x.com/UPRAHsGorZ

樹よむ(いつきよむ)AIイラスト(素材は個人利用可)@ItsukiRead5275

メニューを開く

「また来たのかね? 今夜は微分で手を温めよう。 f(x) = x/(x+1), f′(1) を求めよ。 見た目は煩雑でも、削げば端的だ。では、おやすみ」 #数学少女の挑戦状 #樹とき #AIイラスト #AIイラスト好きさんと繋がりたい pic.x.com/lun2zvI3Ju

樹よむ(いつきよむ)AIイラスト(素材は個人利用可)@ItsukiRead5275

メニューを開く

助手くんに外出に誘われてまんざらでもないとき。 気に入ったらいいね・リポスト・フォローしてもらえると嬉しいです。 #AIイラスト好きさんと繋がりたい #AIイラスト #樹とき pic.x.com/IO40B0UIYf

樹よむ(いつきよむ)AIイラスト(素材は個人利用可)@ItsukiRead5275

メニューを開く

「おはよう、助手くん。昨夜の答えだ。 μ=e^{−x} ⇒ (e^{−x}y)′ = e^{−x}(y′−y) = 1 ⇒ e^{−x}y = x(初期条件で定数0) ⇒ y = x e^{x}。 雑然とした式も、整えればこの通りだ。数字は決して嘘をつかないのだよ。 では朝食をお願いしようか」 #数学少女の挑戦状 #樹とき #AIイラスト pic.x.com/Ll4Aj7E52J

樹よむ(いつきよむ)AIイラスト(素材は個人利用可)@ItsukiRead5275

メニューを開く

「また眠れないのかね? 今夜は微分方程式で眠気を誘おう。 y′ − y = e^x, y(0)=0 を解け。 見た目は雑でも、削げば端的に落ち着く。では、おやすみ」 #数学少女の挑戦状 #樹とき #AIイラスト #AIイラスト好きさんと繋がりたい pic.x.com/IT80vy6vY6

樹よむ(いつきよむ)AIイラスト(素材は個人利用可)@ItsukiRead5275

メニューを開く

「おはよう、助手くん。昨夜の答えだ。 cosx ≈ 1 − x²/2 + … → (1−cosx)/x² ≈ (x²/2)/x² = 1/2 → lim (x→0) (1−cosx)/x² = 1/2 見かけは煩雑でも、答えはただの 1/2。 数字は決して嘘をつかないのだよ。 では珈琲を淹れて貰おうか」 #数学少女の挑戦状 #樹とき #AIイラスト pic.x.com/cOweK7mwJa

樹よむ(いつきよむ)AIイラスト(素材は個人利用可)@ItsukiRead5275

メニューを開く

今日はよむ&ときの誕生日! 「うーん!美味しい!!おにぃさんありがとー!!」 「別に誕生日など…まぁ、折角君が用意してくれたんだ。食べはするがね」 これからもよむとときを宜しくお願いします! #AIイラスト #誕生日 #樹よむ #樹とき pic.x.com/hJ5jidRHw1

樹よむ(いつきよむ)AIイラスト(素材は個人利用可)@ItsukiRead5275

メニューを開く

「また来たのかね? 今夜は極限で眠気を誘おう。 lim (x→0) (1−cosx)/x² 雑然として見えるが、削げば驚くほど端的だ。 夢の中で挑んでみたまえ。では、おやすみ」 #数学少女の挑戦状 #樹とき #AIイラスト #AIイラスト好きさんと繋がりたい pic.x.com/nO3mujqbCe

樹よむ(いつきよむ)AIイラスト(素材は個人利用可)@ItsukiRead5275

メニューを開く

「おはよう、助手くん。昨夜の答えだ。 e^x = 1 + x + x²/2 + … cosx = 1 − x²/2 + … → e^x − cosx − x = x² + o(x²) → lim (x→0) (e^x − cosx − x)/x² = 1。 削げばただの 1。数字は決して嘘をつかないのだよ。 では珈琲を淹れて貰おうか」 #数学少女の挑戦状 #樹とき #AIイラスト pic.x.com/QjuQlKe01n

樹よむ(いつきよむ)AIイラスト(素材は個人利用可)@ItsukiRead5275

メニューを開く

「また来たのかね? 今夜は極限と級数の合わせ技だ。 lim (x→0) (e^x − cosx − x) / x² 雑然と見えても、削げば端的に落ち着く。では、おやすみ」 #数学少女の挑戦状 #樹とき #AIイラスト #AIイラスト好きさんと繋がりたい pic.x.com/v0ccNaQmlK

樹よむ(いつきよむ)AIイラスト(素材は個人利用可)@ItsukiRead5275

メニューを開く

「ふぁ…おはよう、助手くん。昨夜の答えだ。 (1+1/n)^n = e − e/(2n)+… → n((1+1/n)^n − e) = −e/2 整数に見せかけて、容赦なく無理数。 数字は決して嘘をつかないのだよ。 では珈琲を淹れて貰おうか」 #数学少女の挑戦状 #樹とき #AIイラスト #AIイラスト好きさんと繋がりたい pic.x.com/0FtMJo4Z4v

樹よむ(いつきよむ)AIイラスト(素材は個人利用可)@ItsukiRead5275

メニューを開く

「また来たのかね? 今夜は少し極限を試してみよう。 lim (n→∞) n((1+1/n)^n − e) 雑然と見えても、削げば端的な真理に落ち着く。 では、おやすみ」 #数学少女の挑戦状 #樹とき #AIイラスト #AIイラスト好きさんと繋がりたい pic.x.com/pheawhQMJi

樹よむ(いつきよむ)AIイラスト(素材は個人利用可)@ItsukiRead5275

メニューを開く

「おはよう、助手くん。昨夜の答えだ。 sin x·cos x = ½ sin 2x → f′(x) = cos 2x → f′(π/4) = cos(π/2) = 0。 見かけの乱れも、整えればただの 0。数字は決して嘘をつかないのだよ。 では朝食を作って貰おうか」 #数学少女の挑戦状 #樹とき #AIイラスト #AIイラスト好きさんと繋がりたい pic.x.com/Z89IQlTZ3z

樹よむ(いつきよむ)AIイラスト(素材は個人利用可)@ItsukiRead5275

メニューを開く

「また来たのかね? 今夜は三角と微分の合わせ技だ。 f(x) = sin x · cos x f′(π/4) を求めよ。 見た目は雑でも、削げば端的だ。では、おやすみ」 #数学少女の挑戦状 #樹とき #AIイラスト #AIイラスト好きさんと繋がりたい pic.x.com/9CmP8Fhfxu

樹よむ(いつきよむ)AIイラスト(素材は個人利用可)@ItsukiRead5275

トレンド17:17更新

  1. 1

    ガイアフォース

    • 横山武史
    • ソウルラッシュ
    • ジャンタルマンタル
    • 安田記念
    • 武史
    • 富士ステークス
    • 安田
    • 富士S
  2. 2

    エンタメ

    叢雲カゲツ

    • 赤城ウェン
    • カリスマックス
    • にじさんじ
    • Snow Man
    • ショート
    • YouTube
  3. 3

    グルメ

    マルタイ棒ラーメン

    • 棒ラーメン
    • 北海道日本ハムファイターズ
    • 1年分
    • 北海道日本ハム
    • マルタイ
    • 日本ハムファイターズ
    • 日本ハム
    • ラーメン
  4. 4

    グルメ

    もみじ饅頭

    • 広島公演
    • チケット
  5. 5

    シェケナベイベー

    • シェケナ
  6. 6

    スポーツ

    ポール直撃

    • パイナポー
    • ソロホームラン
  7. 7

    エンジントラブル

    • 61号車
    • BRZ
    • オートポリス
    • SUBARU
  8. 8

    スポーツ

    レイエス

    • 全打席敬遠
    • 打たれすぎ
    • 勝ち越し
    • 北海道日本ハム
    • 申告敬遠
    • モーレ
    • タイムリー
    • ランホームラン
    • インコース
    • 日本ハム
    • バケモン
  9. 9

    ITビジネス

    カーインライジング

    • ジ・エベレスト
    • ジエベレスト
    • 海外遠征
    • 世界最強
    • 15勝
    • 700万
    • G1
  10. 10

    スポーツ

    伊藤達哉

    • エリソン
    • 佐々木旭
    • 69分
    • 脇坂
    • J1
    • 7分
    • 13分
    • 4試合連続
20位まで見る

人気ポスト

よく使う路線を登録すると遅延情報をお知らせ Yahoo!リアルタイム検索アプリ
Yahoo!リアルタイム検索アプリ